[10] 대전 입자
핵공학개론2 2021. 1. 14. 04:47
0. 서론
방사성 붕괴의 결과로 방출되는 방사선에는 대전 입자인 alpha, beta particle과 광자인 gamma ray 등이 있다. 전자의 방사선은 가지고 있는 에너지를 주위 물질과의 상호작용을 통해 잃게 되는데, 이때 에너지가 손실되는 양상에 따라 방사선에 의한 영향이 달라진다. 이러한 상호작용은 크게 충돌(collision)에 의한 것과 제동 복사(radiation)에 의한 것으로 나뉘고, 이 과정에서 방사선이 매질 내에서 받는 저지능(阻止能, stopping power)에 의해 정지하기까지 진행한 거리를 비정거리(range)라 한다. stopping power와 range는 방사선 방호나 방사선을 활용하는 여러 기술을 연구하는 데 있어 필수적으로 알아야 할 요소이다.
대전 입자는 자신이 가진 전자기적 특성 때문에 물질을 지나는 과정에서 전자 또는 원자핵과 상호작용을 하게 된다. 전자의 전자기적 영향을 받는 공간을 지나는 과정에서 collision이 발생하며, 핵 주변을 지날 때는 제동 복사를 하며 에너지를 상실한다. 이때의 collision은 실제로 전자와 충돌하는 것이 아닌, 전자기력에 의해 에너지를 잃는 과정을 통칭하니 혼동하지 않도록 한다. 두 가지 메커니즘의 효과가 합쳐져 전체 stopping power가 결정되고, 이 중 어느 쪽의 영향을 얼마나 더 많이 받는지는 대전 입자의 질량에 따라 달라진다. 이 때문에 질량 역시 정지 과정에 영향을 주는 요소 중 하나가 된다.
I. Stopping Power
물질층에 입사한 대전 입자는 주변과 상호작용을 하면서 에너지를 잃고, 모든 에너지를 잃으면 정지하게 된다. 이때 단위길이당 에너지 손실량을 linear stopping power라 부르고, 이것을 물질의 밀도로 나누어준 값을 mass stopping power라 부른다. 대전 입자가 받는 총 stopping power는 다음처럼
$$S_{tot}=S_{rad}+S_{col}$$
radiation과 collision에 의한 stopping power의 합으로 계산된다. 대전 입자 중 가벼운 축에 속하는 전자(또는 양전자)는 물질의 원자핵 주위를 지날 때 bremsstrahlung radiation을 방출하며 에너지를 잃고, 이는 radiation stopping power의 원인이 된다. 반면 전자보다 무거운 양성자나 alpha particle의 경우 bremsstrahlung에 의한 에너지 손실이 매우 적어 대개 무시한다. 또한 질량에 관계 없이 모든 대전 입자는 물질의 궤도 전자와 충돌하는 과정에서 에너지를 잃고, 이는 collision stopping power의 원인이 된다.

i. heavy particles(collision only)
단위길이당 충돌 확률을 μ, 매 충돌마다 대전 입자가 평균적으로 잃는 에너지를 Q_avg로 두면 collision에 의한 stopping power를 다음과 같이 쓸 수 있다.
$$-\cfrac{dE}{dx}=\mu Q_{avg}$$
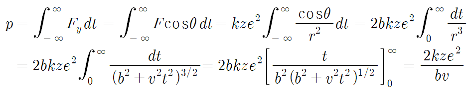
정확한 식을 유도하기 위해, 다음과 같이 전자로부터의 수직 거리가 b(impact parameter)인 직선 경로를 속도 v로 지나는 전하량 Ze의 대전 입자를 생각해보자.

전자와 대전 입자 사이에 작용하는 힘은 x축 방향의 성분과 y축 방향의 성분으로 나뉘고, 이 중 x축 방향의 힘은 대칭성을 고려하면 상쇄될 것으로 예상할 수 있다. 따라서 대전 입자가 잃는 총 운동량은 Coulomb force 공식을 이용하여 다음처럼 계산할 수 있다.

따라서 전자가 얻은 운동에너지는 다음과 같다. m은 전자의 질량 m_e를 의미한다.

위 식을 살펴보면 에너지 전달에 영향을 주는 요소로 대전 입자의 전하량(z)과 속력(v), 그리고 대전 입자의 경로와 전자 사이의 거리인 b에 주목할 수 있다. 요컨대 대전 입자의 전하량이 클수록 에너지가 더 많이 전달되며, 반대로 속력이 빠르거나 멀리 지나가면 적은 양의 에너지만 전달된다.
이제 전자가 n의 균일한 밀도로 분포한 공간을 대전 입자가 지나가는 상황을 생각해보자. 대전 입자는 거리 dx만큼 이동하는 과정에서 아래에 표현된 원기둥 shell에 포함된 전자와 충돌하게 된다.

이때 shell 내부의 전자 수와 충돌당 잃는 에너지량을 곱한 값이 대전 입자가 단위길이당 잃는 에너지가 된다.

위 식에 등장한 ln term은 Coulomb logarithm이라 불리며, 유효한 impact parameter의 경계값으로부터 얻어진다. 다시 말해 전자에 유효한 에너지를 전달할 수 있는 거리를 구해야 하는 것인데, 이는 Q가 b^2에 반비례한다는 점으로부터

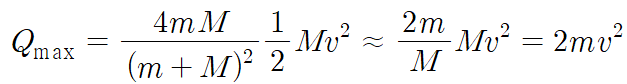
처럼 두고 유효한 에너지 전달량을 계산하는 방식으로 구할 수 있다. 이전 글(seraphy.tistory.com/2)의 부록에서 다뤘던 바에 의하면, 충돌 시의 에너지 전달률 ξ_L은

이므로 최대 에너지 전달량은 다음과 같음을 알 수 있다. m과 M은 각각 전자와 대전 입자의 질량을 뜻한다.

최소 에너지 전달량은 mean excitation energy라 부르는 factor I로 쓰는데, 이는 가능한 모든 ionization 및 excitation energy의 geometrical mean으로, 아래와 같은 실험값으로부터 확인할 수 있다. mean excitation energy에 대한 해석은 기본적으로 전자가 받는 최소한의 영향이 물질의 최외각 전자가 이온화되는 것이라는 생각에 착안한 것이다.

일반적으로 원소들에 대해서는 선형적으로 근사한 값인 11.5Z를 많이 차용하며, 여러 물질에 대한 I 값은 다음 표에 나타나 있다.

이로부터 collision에 의한 stopping power를 식으로 쓰면 다음과 같다.

이상이 1913년 Bohr에 의해 이루어진 stopping power의 semiclassical formula의 유도 과정이다. 위 공식을 보면 대전 입자의 전하량이 클수록, 전자의 밀도가 높을수록 stopping power가 더 커지는 것을 알 수 있고, 대전 입자의 운동에너지 E에 대해서는 ln E / E의 분포를 보임을 확인할 수 있다.
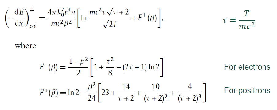
Bohr의 해석은 1932년 상대론적 효과를 고려한 Bethe의 해석으로 수정되는데, 이는 다음의 식으로 정리된다.

Bohr와 Bethe의 해석은 고에너지 영역에서는 유효했으나 대전 입자의 에너지가 낮은, 즉 느리게 진행하는 경우에는 잘 맞지 않았다. 이러한 오차는 앞선 해석에서 전자가 정지해 있다고 가정한 것에서 비롯한다(shell correction). 이밖에도 Barkas-Andersen effect, Bloch correction 등이 오차 보정에 사용된다.

위 그래프를 보면, 대전 입자의 에너지가 낮을수록 stopping power가 증가하는 경향을 보인다(특정 범위 내에서). 그런데 대전 입자는 물질 내에서 나아갈 때마다 에너지를 잃고 있으므로, 점차 stopping power가 커지게 되고 따라서 이를 그래프로 그리면 다음과 같이 정지 직전에 peak가 생기는 형태를 갖게 된다. 아래의 그래프를 Bragg curve라 하며, 에너지 감소로 인한 stopping power의 급격한 증가 현상을 Bragg peak라 부른다.

Bragg peak는 방사선 치료의 원리로 사용될 수 있다. 특정 깊이에서 stopping power가 강해진다는 것은 그 부근에서 방사선이 가진 에너지의 대부분을 잃는다는 것이고, 따라서 체내의 암세포를 표적으로 하는 방사선이 해당 부위 외에는 비교적 적은 피해를 주는 방식으로 치료가 가능해진다.
ii. light particles(radiation and collision)
전자 또는 양전자와 같이 가벼운 대전 입자의 경우 물질의 핵 주위를 지날 때 발생하는 radiation에 의한 에너지 손실을 무시할 수 없다. 따라서 이들의 stopping power는 collision과 radiation의 영향이 더해진 형태로 계산된다.

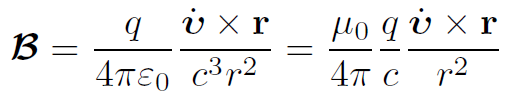
대전 입자의 가속에 의해 방출되는 전자기파는 다음처럼 나타나며,


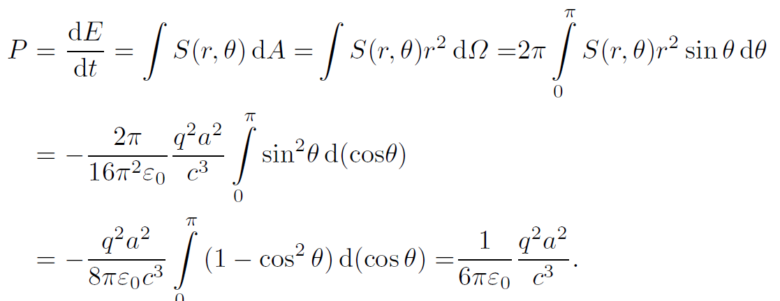
Poynting vector를 사용해 power를 계산하면 다음을 얻는다.


위 식에서 stopping power가 가속도의 제곱에 비례함을 확인할 수 있는데, 가속도가 질량에 반비례한다는 사실로부터 가벼운 대전 입자의 radiation stopping power가 무거운 입자보다 크게 계산됨을 알 수 있다.
이외에도 가벼운 입자의 경우 전자와 충돌할 때 무거운 입자에 비해 훨씬 더 영향을 많이 받으므로, collision에 의한 stopping power도 다르게 계산한다.

전자의 경우, radiation에 의한 손실과 collision에 의한 손실의 비가 다음과 같은 근사식으로 표현된다. E의 단위는 MeV로 주어진다. 요컨대 전자의 에너지가 증가할수록 radiation의 영향이 더 커진다.

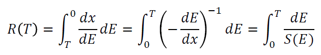
iii. range
range란 대전 입자가 물질 내에서 정지하기까지 진행한 거리로, 다음처럼 stopping power의 역수를 시간에 대해 적분함으로써 구할 수 있다.

다만 가벼운 입자의 경우 충돌로 인한 방향 전환이 잦은 편이므로, penetration depth에 비해 실제 진행거리가 더 길 수 있다. 이 때문에 실제로 이동한 거리를 뜻하는 CSDA(continuous slowing down approximation) range를 사용하기도 한다.

참고문헌
1. A. Beiser, "Concepts of Modern Physics", 6th ed., McGraw-Hill Ltd. (2003)
2. David K. "Fundamentals of Engineering Electromagnetics", Pearson (2014)
3. Ervin B. Podgorsak, "Radiation Physics for Medical Physicists", 2nd ed., Springer-Verlag Berlin Heidelberg (2010)
4. J. Shultis and R. Faw, "Fundamentals of Nuclear Science and Engineering", CRC Press (2016)
5. J. Turner, "Atoms, Radiation, and Radiation Protection", Wiley (2007)
6. Kyoung Jae Chung, "Interaction of Charged Particles with Matter(Introduction to Nuclear Engineering)", Seoul National University (2020)
7. ICRU Report No. 16, No. 37
'핵공학개론2' 카테고리의 다른 글
| [12] 방사선 노출 (1) | 2021.01.23 |
|---|---|
| [11] 광자 (0) | 2021.01.22 |
| [9] 방사성 붕괴 (0) | 2021.01.12 |
| [8] 방사선 기초 (0) | 2021.01.10 |
| [7] 핵융합 기술 (0) | 2021.01.02 |




