[2] 중성자
핵공학개론1 2021. 1. 31. 18:28
0. 서론
핵분열은 일반적으로 무거운 방사성 원소를 대상으로 중성자를 발사하여 분열을 유도하는 방식으로 진행된다. 본 글에서는 중성자의 에너지가 대상 핵에 전달되는 과정을 살펴보고, 이로 인해 발생할 수 있는 여러 가지 neutron reaction에 대해 알아볼 것이다. 이러한 반응이 일어날 확률은 cross section으로써 나타나고, cross section은 incident neutron의 에너지에 따라 변화하며 크게는 에너지의 영역별로도 양상이 다르다. 따라서 앞 내용에 이어서는 핵의 구조와 양자역학, 불확정성 원리에 대한 이해를 바탕으로 원소별 cross section의 특징을 설명할 것이다.
I. Collision
질량수가 1인 중성자가 그보다 무거운 원소들을 향해 입사하는 상황을 생각해보자. target에 충돌하면, 중성자는 가진 에너지를 전달하고 특정 반응을 일으킨다. 이때의 에너지 전달률은 다음 글에서 계산한 바 있다.
2020/11/25 - [핵공학개론2] - [1] 플라즈마 개념 정리
질량이 m_1인 입자가 질량이 m_2이고 정지 상태인 입자에 충돌하는 경우, 에너지 전달률은 다음과 같다.


중성자의 질량수가 1이므로, target의 질량수를 A라 할 때 위 식은 아래와 같이 변하며,

전달률이 최대일 때 산란된 중성자의 에너지는 최소가 된다. 따라서 중성자 에너지의 변화율 α는 cos=1일 때 다음처럼 도출된다.

A=1인 수소 원자핵을 예로 들면, 중성자가 가질 수 있는 최소 에너지는 0이다. A가 증가할수록 중성자의 가능한 최소 에너지는 1에 가까워지고, 전달될 수 있는 에너지도 감소한다.

또한 지난 글에서 다룬 내용 중 평균 손실률(전달률)을 α에 대해 나타내면 다음과 같다.

이상의 내용으로부터, 중성자가 질량수 A인 핵에 충돌하는 경우 A가 작을수록 중성자의 에너지가 더 빨리 감소한다는 점을 추론할 수 있다. 이는 원자로의 감속재와 관련된 원리로, 에너지가 낮은 열중성자를 이용하는 대부분의 원자로는 핵분열 시 생성되는 중성자의 속도를 줄이기 위해 감속재로 물(질량수 18, 20)을 사용한다. 반면 고에너지의 중성자를 필요로 하는 고속증식로는 감속재로 소듐(질량수 23)이나 납(질량수 208)을 사용하여 감속을 늦추는 방법을 쓴다.
II. Neutron Reaction
i. classification
중성자는 핵에 충돌한 이후 산란되거나 대상 핵에 흡수된다. 산란되는 경우 반응은 탄성 충돌 및 비탄성 충돌로 나뉘며, 흡수되는 경우 핵과 중성자가 결합되어 만들어진 복합핵(compound nucleus)의 변화 양상에 따라 반응을 구분한다. 복합핵은 중성자를 그대로 포획할 수도, 또는 분열될 수도 있으며, 어떨 때는 복합핵을 유지하되 대전 입자나 또 다른 중성자를 방출할 가능성도 있다.

위 그림은 neutron reaction을 유형에 따라 구분한 것이다. 반응을 나타내는 표기를 병기하였는데, 간단히 말하자면 괄호 내부는 왼쪽부터 반응을 유발한 입자와 반응 후 생성되는 입자 혹은 방사선을 의미한다. Fission의 경우 fp는 fission product의 약자이며, n과 p가 같이 방출되는 (n, np) 반응도 존재한다.
ii. compound nucleus
실제 핵분열 과정은 충돌한 중성자와 대상 핵이 하나의 복합핵을 만들고, 이후의 전개에 따라 반응 유형이 나뉘는 양상으로 진행된다. 다음은 ground state에 있던 질량수 A인 대상 핵(왼쪽)에 중성자가 결합하여 질량수가 A+1인 excited state의 복합핵(오른쪽)을 만드는 것을 나타낸 그림이다.

우선적으로 이해해야 할 것은 첫째, 질량수가 늘었으므로 복합핵의 ground state는 대상 핵의 ground state보다 에너지가 낮다는 점이다. 질량수가 증가하면 에너지 준위는 낮아짐과 동시에 간격이 촘촘해지는데, 이는 Schrödinger equation을 풀이한 결과이다. 이러한 이유로 결합 후에는 전보다 핵반응에 사용 가능한 에너지의 양이 많아진다. 둘째로는 중성자가 가진 에너지가 일부 복합핵에 전달되어 결합 전보다 에너지 준위가 높아지는 것에 주목하자. 이 두 가지 원리가 적용되어 복합핵은 전자에 의한 binding energy E_B와 후자의 neutron energy E_C의 합만큼 들뜬 상태가 된다.
한 번 만들어진 복합핵은 다시 입자를 방출하며 scattering을 유발할 수도 있고, 복합핵 상태를 유지하며 들뜬 만큼의 에너지를 감마선 형태로 방출할 수도 있으며 여러 개의 fission product로 분열될 수도 있다. Scattering이 일어나는 경우는 Fig 1 기준 오른쪽에서 왼쪽으로 돌아오는 화살표에 해당하는데, 이때 정확히 질량수 A인 대상 핵의 바닥 상태로 돌아오면 elastic scattering, 그보다 위에 있는 에너지 준위로 돌아와 바닥 상태와의 에너지 차이만큼의 감마선을 방출하면 inelastice scattering이 된다. 감마선이 가진 에너지만큼 손실이 일어나기 때문이다. Capture가 발생하는 경우 복합핵이 그대로 유지되며, 잠시 후 감마선을 방출하면서 바닥 상태의 에너지로 내려온다. 이때 감마선의 에너지는 E_B+E_C와 같다.
Scattering과 capture 중 어느 쪽이 발생할지를 결정하는 요소는 매우 많다. 그 중 하나로 질량이 있는데, 요컨대 scattering이 발생하기 위해서는 핵자 중 하나에 binding energy 이상의 에너지가 집중되어야만 그 핵자가 복합핵에서 탈출할 수 있다. 따라서 질량수가 높은 대상 핵은 이를 구성하는 핵자 수가 많으므로, 어느 하나에 에너지가 집중되기 어려워 scattering보다는 capture가 일어날 확률이 더 높다. 반대로 가벼운 대상 핵은 scattering, 특히 elastic scattering이 발생할 가능성이 높은 편이다.
iii. resonance
Fig 1의 오른쪽 그림을 보면 에너지 준위 상단부에 resonance가 여럿 발생한 것을 확인할 수 있다. binding energy와 neutron energy를 합친 값이 특정 에너지에 근접하면 이에 해당하는 핵반응이 일어날 확률이 대폭 증가하는데, 이를 resonance라 한다. E_B와 E_C의 합이 복합핵의 에너지 준위 중 하나에 도달하면 compound nucleus가 만들어질 발생 확률이 증가한다.
이전 문단에서 설명한 것처럼 질량수가 클수록 에너지 준위의 간격은 줄어든다. 따라서 에너지 준위마다 발생하는 resonance가 촘촘하게 이어지면서, 본래라면 해당 에너지 주변의 짧은 구간에서만 증가해야 할 반응 확률이 넓은 구간에 걸쳐 전반적으로 증가하는 현상이 발생한다. 반면 질량수가 작으면 에너지 준위의 간격이 커지므로 특정 고에너지에서만 반응이 집중된다. 이 때문에 무거운 입자에서는 resonance가 매우 중요한 의미를 갖는다.
resonance가 얼마나 잘 일어나는지를 나타내는 지표는 반치폭(FWHM, full width at half maximum)으로, peak height의 절반에 해당하는 지점에서 측정한 peak의 폭을 의미한다. 복합핵이 만들어질 확률, 즉 전체 반응 확률을 Γ로 표기하며, 이 확률을 여러 반응들이 나눠가지는 것을 보이기 위해 Γ에 대한 비율로써 개별 반응이 차지하는 비(ratio)를 사용한다. 예컨대 elastic scattering가 일어날 확률을 Γ_e로 쓴다면, elastic scattering이 전체 반응에서 차지하는 비율은 Γ_e / Γ라는 뜻이다. 이 비율은 cross section에 곱해져 확률 계산에 사용된다.

※ 불확정성 원리
일반적으로 에너지 준위는 이산적으로 분포한다(Schrödinger equation의 해에 의해). 그런데 Dirac의 불확정성 원리에 의해, 해당 에너지에서 바닥 상태로 내려가는 데 걸리는 시간에 반비례하는 폭만큼 에너지 준위가 분산되는데 이것이 resonance가 폭을 갖는 이유이다.
무거운 핵은 핵자 수가 많아 핵자 간 에너지의 이동이 일어날 여지가 많다. 이 때문에 쉽게 안정되지 못하고 핵자끼리 에너지를 비교적 오랜 시간에 걸쳐 주고받으며 감마선을 느리게 방출한다. 따라서 불확정성 원리에 의해 resonance의 폭은 좁다. 반대로 가벼운 핵은 빠르게 감마선을 방출하고 바닥 상태로 내려가므로, resonance의 폭이 넓은 편이다.
iv. cross section
중성자에 의한 핵분열 반응은 중성자가 가진 에너지 영역대에 따라 cross section의 그래프 형태가 달라진다. 다음은 실험적으로 얻어낸 U-235의 total cross section을 나타낸 것이다. y축의 cross section 단위는 b라 써 있는데, 1e-24 cm^2을 1 barn이라 하여 cross section을 표현하는 대표적인 단위로 사용된다.

먼저 1eV 이하의 저에너지 영역에서는 아래 식과 같이 에너지의 제곱근에 반비례하는 양상을 따라간다. 속력의 관점으로 보면 반비례한다.

앞쪽의 상수 c_1은 scattering cross section에 해당하고, 뒤쪽의 반비례항은 capture cross section이다. 일반적으로 빠르게 지나가는 중성자는 대상 핵에 잘 포획되지 않는다.
1eV에서 100eV 사이의 중간 영역에서부터는 무거운 핵의 경우 resonance가 시작되고, 가벼운 핵은 cross section이 일정한 값으로 유지된다. 이는 위에서 설명한 바와 같이 무거운 원소의 에너지 준위가 상대적으로 낮기 때문이다. 이후 100eV 이상의 고에너지 영역에서 가벼운 핵의 resonance가 시작되며, 무거운 핵은 resonance가 과다해져 오히려 일정한 cross section의 양상을 보이게 된다. 후자의 경우 충분히 높은 에너지를 가진 중성자가 입사하면 대상 핵의 binding energy를 이기고 (n, 2n) 반응과 같이 2개 이상의 중성자가 방출되기도 한다.
※ 경수로, 중수로
다음은 H-1과 H-2(중수소)의 capture cross section을 나타낸 것이다.

수소의 capture cross section이 중수소에 비해 1000배 정도 높게 나오는데, 이는 중수소의 경우 n-p pair가 이미 존재하여 새롭게 n을 capture하기가 어려운 탓이다. 이와 관련된 내용은 다음 글에 설명되어 있으니 참고하자.
2020/12/29 - [핵공학개론2] - [6] 핵융합 기초
위 비교를 통해 경수로와 중수로의 차이를 설명할 수 있다. 지난 글(seraphy.tistory.com/14)에서 핵분열에 사용되는 우라늄 동위원소 U-235는 다른 동위원소 U-238에 비해 비중이 매우 적다고(0.7%) 언급한 바 있다. 경수로의 경우 충분한 수의 중성자를 확보하기 위해 U-235를 농축하여 약 3% ~ 5%까지 비중을 늘려 사용하는 반면, 중수로는 천연 우라늄을 그대로 연료로 쓴다. 중성자를 방출하는 U-235가 적게 포함되어 있음에도 중수로에서는 중성자가 잘 흡수되지 않기 때문에 굳이 농축할 필요가 없는 것이다.
국내의 중수로 원전으로는 월성 1 ~ 4호기가 있다.
※ U-235, U-238
이후 따로 설명하겠지만, 같은 우라늄임에도 불구하고 U-235는 fission 반응이 잘 일어나지만 U-238은 capture가 우세한 반응이며 그마저도 U-235의 capture cross section보다 낮게 측정된다.

II. Fission
지금까지 살펴본 것은 scattering과 capture가 일어나는 과정에 해당한다. 중성자와 대상 핵이 결합해 compound nucleus가 되고 나면, threshold energy를 넘는 에너지가 있는지의 여부에 따라 fission이 일어날지 아니면 그대로 capture될지의 진행 방향이 달라진다.
i. critical energy
이전 글(seraphy.tistory.com/7)에서 설명했던 것처럼 핵자 사이에는 전자기력과 강한 핵력이 주요한 힘으로 작용하고 있다. 특정 경계를 기준으로 그보다 가까워지면 강한 핵력이 우세해져 결합하게 되고, 멀면 전자기력에 의해 서로 밀어낸다(같은 전하를 가진 p-p pair의 경우). 복합핵의 분열은 이미 합쳐진 핵자들이 떨어져 나오는 것이므로, 강한 핵력을 이겨낼 만한 에너지가 요구된다. 이 에너지량을 critical energy라고 한다.

위 그림을 보면 퍼텐셜의 기울기가 바뀌는 지점의 distance가 R_1+R_2로 쓰여 있는데, 이것은 복합핵이 fission product 2개로 분리되는 정확한 시점을 의미한다. 그래프의 E_a가 critical energy이고, E_d는 전자기 퍼텐셜 에너지에서 E_a를 뺀 것으로 분열 전후의 질량 차를 에너지로 환산한 값과 같다.
앞서 설명한 내용을 보면, 복합핵이 형성되는 과정에서 바닥 상태의 에너지가 binding energy (of last neutron)만큼 낮아지고, 복합핵의 에너지가 하나의 핵자에 몰려 binding energy를 넘어서면 scattering이 된다고 하였다. Fission 역시 이와 유사한 과정을 거친다.

위 그림은 에너지가 없는 중성자가 U-235에 포획되어 U-236이 되는 과정을 나타낸 것이다. 중성자가 가져오는 에너지가 없으므로, 복합핵이 가진 에너지는 U-235에서 U-236으로 변할 때 생긴 바닥 상태 에너지 준위의 낙차 6.8MeV가 전부이다. 그런데 이 에너지만으로도 critical energy 6.5MeV를 뛰어넘을 수 있기 때문에, fission이 발생할 수 있다. 이처럼 중성자의 에너지에 관계 없이 분열이 가능한 물질을 fissile이라 한다. 그렇지 않고 어느 정도의 에너지를 얻어야만 분열이 되는 물질을 fissionable 또는 fertile이라 한다.

위 표는 대상 핵의 critical energy와 binding energy를 나타낸 것이다. 일반적으로 질량수가 짝수인 핵이 홀수인 핵보다 안정적이므로, 복합핵의 질량수가 짝수가 되는 경우 에너지 준위의 낙차가 크다. 따라서 질량수가 홀수인 대상 핵이 주로 fissile에 해당하며 대표적인 예시가 U-235이다. 반대로 질량수가 짝수인 U-238은 fertile에 속한다.
※ fissionable, fertile
보통 fissionable은 고에너지의 중성자에 의해서만 핵분열이 가능한 물질을 말하고, fertile은 capture 후 다른 fissile로 변하는 물질을 말한다. 예컨대 U-238은 중성자를 포획한 뒤 방사성 붕괴를 거쳐 Pu-239가 된다.
ii. fission product
다음은 U-235의 fission fragment를 나타낸 것이다. 2 ~ 3개의 조각이 생성될 수도 있으나 많은 경우 2개로 분열되고, 같은 질량수로 나누어지기보다는 다른 질량수로 분열되는 경우가 많다. 다만 fission product의 비율은 한 종류당 8%를 넘지 않는 범위 내에서 결정된다. 이렇게 생성된 fragment는 분열로 인해 방출되는 대부분의 에너지를 운동에너지로 가져간다.

핵분열 결과 생성되는 물질에는 중성자도 있다. 1개의 incident neutron당 평균적으로 2.4개의 중성자가 방출되며, 대부분의 중성자는 분열 즉시 방출되나(즉발중성자) 몇몇 경우 중간 과정을 거치면서 뒤늦게 방출되기도 한다. 이들을 delayed neutron(지발중성자)이라 부르며, 원자로 제어에 중요한 역할을 한다.
iii. fission energy
U-235는 매 분열마다 약 200MeV의 에너지를 방출한다. 83% 정도는 fission product의 운동에너지로 전환되며, 그 외에는 감마선이나 중성자를 매개로 에너지가 전달된다.

iv. fission neutron
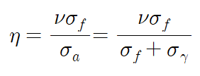
핵분열의 지속성을 보장하려면 유입된 중성자의 수만큼 새로운 중성자가 생성되어야 한다. 분열당 발생하는 중성자의 수를 ν로 쓰고, 이들 가운데 흡수되는 중성자 대비 생성되는 중성자의 수를 재생계수(reproduction factor) η라 하며 다음 식으로써 표현된다.

cross section의 우하첨자 f와 a, γ는 각각 fission, absorption, capture에 해당한다. 재생계수는 현 세대와 다음 세대의 중성자 수 비율인 증배계수(multiplication factor) k와는 다른 의미이므로 혼동하지 말아야 한다.
η는 핵종과 중성자 에너지에 따라 값이 변한다. 다음 그래프를 보자.

U-233과 U-235, Pu-239는 질량수가 홀수이므로 fission이 비교적 잘 일어나는 물질이다. 이들은 낮은 에너지 영역에서도 중성자를 다수 생산할 수 있다. U-238과 Th-232는 저에너지에서는 중성자를 잘 만들지 못하고, 충분히 에너지가 높아져 fission cross section 자체가 유의미하게 커지거나 중성자 방출 반응인 (n, 2n), (n, 3n) 등이 일어날 수 있게 되면 reproduction factor가 증가한다. 이러한 이유로 고에너지 영역에서는 질량수에 상관없이 모든 물질의 재생계수가 급격히 늘어나는 모습을 보인다.
※ fast breeder reactor
위 문단에서 한 번 언급된 바 있는 FBR은 고속의 중성자를 사용해 핵연료를 스스로 만들어내는 작업을 한다. 위 그래프를 다시 보면 Pu-239가 고에너지 영역에서 다른 원소들보다 중성자를 더 많이 만들어내는 것(1MeV에서 η=3)을 확인할 수 있다. 이 성질을 활용해 U-238과 Pu-239의 혼합 연료를 투입하고, Pu-239가 만들어낸 고에너지 중성자를 U-238에 결합시킴으로써 Pu-239로 변하게 하는 것이 그 원리이다.
참고문헌
1. Han gyu Joo, "Interaction of Neutrons with Matter(Introduction to Nuclear Engineering 1)", Seoul National University (2020)
2. J. K. Shultis, R. E. Faw, "Fundamentals of Nuclear Science and Engineering", 2nd ed., CRC Press (2008)
3. J. R. Lamarsh, A. J. Baratta, "Introduction to Nuclear Engineering", 3rd ed., Prentice Hall (2001)
4. 이은철, 조건우, 김응수, "핵공학개론", 한티미디어 (2018)
이미지
2. slideplayer.com/slide/15353989/
4. www.reactor-physics.com/what-is-critical-energy-threshold-energy-for-fission-definition/
5. https://radiologykey.com/radionuclide-and-radiopharmaceutical-production/
6. www.nuclear-power.net/nuclear-power/fission/energy-release-from-fission/
7. www.reactor-physics.com/what-is-reproduction-factor-definition/
'핵공학개론1' 카테고리의 다른 글
| [6] 열역학 기초 (0) | 2021.03.15 |
|---|---|
| [5] 원자로 내 중성자 분포 (1) | 2021.02.16 |
| [4] 4인자 공식(Four Factor Formula) (0) | 2021.02.12 |
| [3] 에너지에 따른 중성자 분포 (1) | 2021.02.07 |
| [1] 핵분열 기초 (0) | 2021.01.27 |




