[5] 원자로 내 중성자 분포
핵공학개론1 2021. 2. 16. 06:12
0. 서론
원자로는 핵연료와 감속재를 포함하는 수많은 cell로 구성되어 있다. 핵연료는 중성자를 생성하는 source 역할을 하고, 감속재는 반대로 중성자를 흡수하는 역할을 담당한다. 이러한 역할의 차이 때문에, 하나의 cell 내부에서 neutron flux는 위치에 따라 변한다.
이전의 글에서 계속 살펴보았듯이, neutron flux는 원자로에서 얻을 수 있는 에너지량을 결정하는 중요한 요소이다. 연료 조성이나 중성자 에너지를 조절해 핵연료의 cross section을 높혀도 해당 구간에서의 flux가 낮으면 핵분열은 잘 일어나지 않을 것이다. 이에 더해 원자로 전체에서 flux가 어느 정도 균일하게 분포하고 있지 않다면, 핵연료가 골고루 연소되지 못해 발전 효율이 떨어지게 된다.
본 글에서는 중성자에 대한 연속방정식을 살펴보고, 간단한 1군 확산방정식(에너지를 고려하지 않음)을 풀어봄으로써 몇 가지 형태의 원자로 내부에서 neutron flux가 어떻게 나타나는지를 알아보고자 한다. 이 과정에서 flux의 곡률을 의미하는 버클링(buckling)과, 원자로 내 최대 출력과 평균 출력의 비인 flux peaking factor를 구할 것이다.
(이하 내용에는 미적분학과 미분방정식 등 수학 지식을 요구하는 부분이 포함되어 있다. 본문에서 간략하게나마 설명할 것이나, 기본적으로는 이미 알고 있는 것으로 생각하고 서술하려 한다. 따라서 관련 공부가 필요하다면 선행하기를 추천한다)
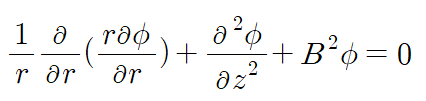
I. 연속방정식과 확산방정식
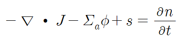
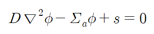
원자로 내에서 중성자 수의 평형이 유지된다면 연속방정식이 성립한다. 가능한 손실로는 누설과 흡수가 있고, 생성으로는 오직 핵분열에 의한 중성자 발생만이 있다. 이때 단위면적당, 단위시간당 중성자의 흐름을 나타내는 벡터 값인 neutron current(중성자류, neutron flux와 단위가 같다)를 사용하여 누설을 표현할 수 있다. 임의의 단위부피에 대해, neutron current의 발산은 해당 부피를 벗어나는 누설과 같다. 이를 식으로 쓰면 다음의 형태가 된다.

중성자의 누설은 확산에 대한 Fick's law를 사용해 표현할 수 있다.

위 식에서 D를 diffusion coefficient(확산계수)라 하며, 요컨대 neutron current는 flux의 gradient에 비례한다는 의미이다. 이를 사용해 연속방정식을 다시 쓰면 다음과 같다.

Fick's law는 균일한 무한 매질 조건이 성립하고 정상상태(steady state)가 유지될 때 오차가 적다. 그러므로 후자를 적용하여 중성자 수의 변화가 없는 조건에서 위 식을 살펴보기로 하자.

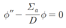
i. 반직선형 무한평판(생성 없음)
가장 간단한 경우로 중성자가 생성되지 않는 반직선형의 무한평판을 생각하자. 식과 경계조건은 아래와 같다.


1차원이므로 라플라시안은 이계미분으로 대체된다. 이로부터 아래의 미분방정식을 풀면 flux를 얻는다.



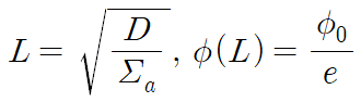
생성이 없는 반직선 무한평판에서 중성자 flux는 지수적으로 감소한다. 이때 감소 속도를 나타내는 지표로 자주 언급되는 것은, 경계에서의 flux와 비교했을 때 그 양이 1/e이 되는 지점까지의 거리이다. 이 값은 위 식에서의 L과 같은데, 이를 diffusion length라 한다.

ii. 선분형 무한평판(일정한 생성)
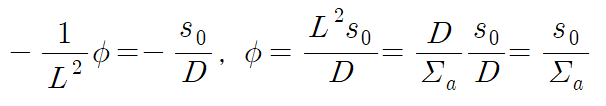
다음으로 구간 [-a, a]로 나타낼 수 있는 평판형 공간을 생각해보자. 아래의 선분은 무한평판에 수직한 것으로, x 좌표 하나에 평판 하나가 대응하여 연속적인 원자로를 구성한다. 단위부피당, 단위시간당 생성되는 중성자의 수는 s_0로 두고, 경계조건은 양끝에서 flux가 0이 되도록 설정한다.

주어진 식의 라플라시안을 이계미분으로 바꾸고, source term을 써주면 다음 식을 얻는다.

먼저 homogeneous solution은 다음과 같다. 이때 주어진 구간에서 해가 대칭성을 가지므로, cosh 함수로 나타낼 수 있음을 예상할 수 있다.

Particular solution의 경우, 정상상태에서 식을 풀면 다음의 해를 얻는다.

x = ±a에서 flux가 0이므로, 최종 해는 다음과 같음을 알 수 있다. 요컨대 선분형 공간에서의 flux는 중심에서 멀어짐에 따라 hyperbolic한 감소세를 보인다.


이렇게 방정식을 풀이하는 방법은 대략적으로 설명하였기에, 여기서 추가 예시는 잠깐 미루고 두 가지 중요한 개념을 소개하고 넘어가고자 한다.
iii. 버클링(buckling)
버클링이란 휘어짐을 뜻하는 단어이다. 원자로 관련 용어로써는 곡률(curvature)과 같은 의미를 갖는데, 그 대상은 지금까지 살펴본 중성자 flux의 거리에 따른 그래프이다.
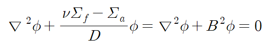
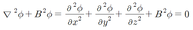
버클링의 중요성은 이를 사용해 임계 상태를 표현할 수 있다는 점에 있다. 버클링에는 기하학적 버클링(geometrical buckling)과 재질 버클링(material buckling)이 있고, 전자는 원자로의 형태와 크기에 의해 결정되는 것이며 후자는 핵연료 내 물질 특성에 의해 결정된다. 처음에 유도했던 1군 확산방정식을 다시 살펴보자.

원자로 내에서 생성에 관여하는 반응은 핵분열뿐이다. 따라서 source term s를 다음처럼 쓸 수 있다.

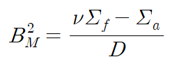
이를 사용해 식을 정리하면 다음을 얻는데, 여기서 material buckling을 아래와 같이 정의한다. 표기 시 geometrical buckling과 구분하기 위해 우하첨자 M을 적는 경우가 많다.


이것을 재질 버클링이라 부르는 이유는 값을 구성하는 요소들이 모두 재료의 특성에서 얻어지기 때문이다. 즉 핵연료의 조합, 구성, 물질특성을 안다면 재질 버클링을 계산할 수 있다.
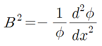
1차원 공간을 가정하면, 라플라시안이 이계미분으로 바뀌면서 버클링에 대한 식을 세울 수 있다. 이로부터 버클링이 곡률을 의미한다는 것을 이해할 수 있다.

위에서 정리한 미분방정식은 임계 상태(또는 정상상태)를 가정하고 세운 것이다. 따라서 위 식이 성립한다는 것은 원자로가 임계 상태라는 것과 동치이다. 이때 식이 성립한다는 것을 보이려면 재료 특성으로부터 구한 재질 버클링이 미분방정식의 풀이를 통해 얻은 버클링 값과 같아야 하는데, 후자의 값은 원자로의 기하학적 형태에 따른 경계조건으로부터 얻어진다. 이러한 이유로 geometrical buckling이라는 이름이 붙었다.
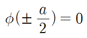
한 가지 예를 들어 임계 조건을 구하고자 한다. 바로 전에 계산한 것과 유사하게, 두께가 a인 slab(평판) 형태의 원자로를 생각해보자. 사용할 식과 경계조건은 다음과 같다.


이전 문단에서는 해가 hyperbolic 함수 형태로 나왔지만 이번에는 식이 수정되면서 해 역시 바뀌게 된다. 이를 풀면 다음을 얻는다.

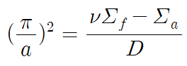
요약하면, 두께가 a인 slab에서의 geometrical buckling은 (π/a)^2이고, 임계 조건은 다음과 같다.

위 식은 임계 상태를 나타내는 다음 식과 의미가 같다.

※ 외삽거리(extrapolation distance)
위에서는 두께가 a인 slab에 대응하는 구간을 [-a/2, a/2]로 잡았는데, 이는 실제와 다소 차이가 있다. Fick's law가 원자로의 경계에서 잘 성립하지 않기 때문으로, 경계에서 flux가 곧장 0이 되지 않고 일정 거리까지는 계속 측정된다. 이 거리를 외삽거리 d라 하여 일반적으로 다음의 식이 성립하는 것으로 알려져 있다.

따라서 실제로는 두께 a에 외삽거리를 더한 값이 정확한 경계 지점이 되는 것인데, 앞으로의 계산에서는 이를 암묵적으로 반영하고자 한다. 요컨대 '두께가 a인 slab'이란 문구는 '외삽거리를 포함한 전체 구간 길이가 a인 slab'이라는 뜻으로 받아들이자.
원자로 전체 크기와 비교해보면 외삽거리는 매우 짧아 때때로 무시하는 경우도 있다.
iv. flux peaking factor
원자로가 핵연료를 효율적으로 쓰기 위해서는 전반적으로 균형 잡힌 핵분열이 일어나야 한다. 그런데 원자로 내에서 중성자 flux는 상이하므로, 위치에 따라 원자로 출력이 달라 핵분열이 불균일하게 발생한다. 그 정도가 심하면 핵연료 교체 주기가 짧아져 발전 효율이 떨어지게 되는데, 이를 나타내는 값이 flux peaking factor로 최대 출력을 평균 출력으로 나누어 계산한다. 따라서 flux peaking factor의 값이 작을수록 좋은 원자로가 된다.
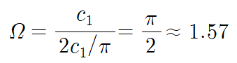
앞서 살펴본 slab을 다시 가져와 flux peaking factor를 구해보자. cos 함수이므로 최댓값과 평균값을 구하는 것이 어렵지 않다.

이하에서는 slab 이외의 원자로, 예컨대 직육면체, 원기둥, 구형 등을 추가로 살펴볼 것인데, 중성자 flux의 분포와 더불어 기하학적 버클링과 flux peaking factor를 같이 구할 것이다.
v. 직육면체형
다시 원자로 형태에 따른 flux 계산으로 돌아가, 변의 길이가 각각 a, b, c인 직육면체형 원자로를 생각해보자. 이 경우 라플라시안이 그대로 남아 있게 되어 식은 다음과 같다. 원자로의 경계에서 flux는 0이라고 가정한다.

이와 같은 편미분방정식을 풀이할 때는 다음처럼 변수분리를 사용한다.

이로부터 다음의 해를 얻는다.

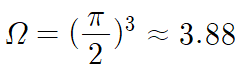
이 경우 flux가 cos 함수 3개의 곱으로 구성되므로, flux peaking factor는 간단하게 slab에서의 것을 세제곱하여 계산할 수 있다.

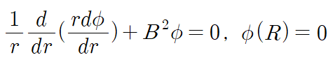
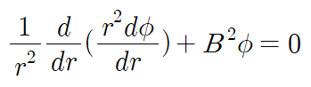
vi. 무한원주
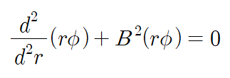
이번엔 반지름이 R이고 z축 방향으로는 무한히 뻗어 있는 원주형 원자로를 생각해보자. Cylindrical coordinate를 사용하면 다음 식을 얻는다. Azimuthal symmetry를 가정하여 식을 간단히 줄였고, z축 방향으로는 무한히 뻗어 있으므로 이쪽은 고려하지 않아도 된다(무한평판을 선분으로 단순화한 것과 같다).

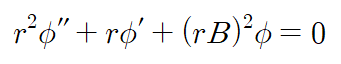
위 식은 정리하면 다음처럼 n=0인 Bessel equation으로 쓸 수 있다.

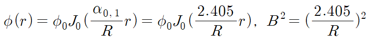
경계조건을 적용하면 해는 다음과 같다. 이때 모든 구간에서 flux는 무한대로 발산할 수 없다는 조건을 사용하면, r=0에서 발산하는 제2종 베셀함수 항은 지워진다. 또한 flux가 음의 값을 가질 수 없기 때문에 r 앞의 계수도 하나로 결정된다.


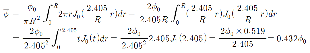
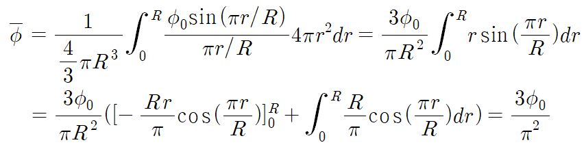
제1종 베셀함수의 특성상 최대 flux는 Φ_0이다. 평균 출력은 다음과 같이 구할 수 있다.

따라서 무한원주의 flux peaking factor는 아래와 같다.

vii. 유한원주
그런데 원자로가 무한할 수는 없으니, 실제 환경에 맞추려면 유한원주에 대해서 계산해볼 필요가 있다. 높이는 H로 정하고, 식은 z에 대한 항이 추가된 것 외에 앞선 문단에서 본 것과 동일하다.

이번에도 마찬가지로 변수분리를 통해 답을 얻을 수 있다.

r에 대한 식은 bessel function 형태로, z에 대한 식은 cos 함수로 나온다는 것을 앞에서 확인하였으니 어렵지 않게 해를 구할 수 있다. 여기까지 계산했다면 눈치챌 수 있겠지만, 차원이 늘어나면 각 좌표에 대한 개별 계산 결과를 사용해 해는 곱하고, 버클링은 더하는 방식으로 계산량을 줄일 수 있다.

이번에도 최대 flux는 중심에서 Φ_0로 최대이고, 평균 flux와 flux peaking factor를 계산하면 다음과 같다.

viii. 구형
마지막으로 살펴볼 것은 반지름이 R인 구형 원자로이다. Azimuthal/polar symmetry를 가정하면 구면좌표계에서의 라플라시안을 사용해 다음처럼 식을 쓸 수 있다.

식을 정리하면 다음의 형태로 변하여 간단히 해를 구할 수 있다.



Flux가 sink 함수의 형태이므로 최대 flux는 중심에서 Φ_0로 최대이고, 평균 flux와 flux peaking factor를 계산하면 다음과 같다.


ix. 정리
이상의 긴 과정을 통해 각 원자로 형태에서의 flux 분포와 버클링, 그리고 flux peaking factor를 구해보았다. 일전에 flux peaking factor가 작으면 좋은 원자로라고 하였는데, 계산 결과를 놓고 보면 구(3.29), 원주(3.64), 직육면체(3.88) 순서로 효율적임을 알 수 있다. 그런데 실제로는 구형 cell을 사용하고자 할 때 설계상 여러 애로사항이 있어(대표적으로 냉각재 문제) 원주형 cell을 주로 사용하는 편이다.
Flux peaking factor의 물리적 의미를 살펴보고 글을 마친다. 원자로에서 평균 출력과 최대 출력 간의 차이를 키우는 주요한 요인 중 하나는 다름 아닌 중성자의 누설이다. 원자로의 경계에서 중성자가 많이 누설될수록 평균 출력이 감소하기 때문인데, 그렇다면 같은 부피에서 비교할 때 표면적이 작은 형태로 설계하면 누설을 줄일 수 있을 것이고 이 경우 flux peaking factor가 작아지게 된다. 이러한 관점에서 볼 때 구형 원자로의 flux peaking factor가 가장 작은 것은 상식적으로 이해하기 쉽다. 최소한의 면적으로 가장 넓은 부피를 둘러쌀 수 있는 형태가 바로 구이기 때문이다.
참고문헌
1. Erwin Kreyszig, "Advanced Engineering Mathematics", 10th Ed., Wiley (2011)
2. Han gyu Joo, "Neutron Diffusion and Flux Profiles(Introduction to Nuclear Engineering 1)", Seoul National University (2020)
3. J. K. Shultis, R. E. Faw, "Fundamentals of Nuclear Science and Engineering", 2nd ed., CRC Press (2008)
4. J. R. Lamarsh, A. J. Baratta, "Introduction to Nuclear Engineering", 3rd ed., Prentice Hall (2001)
5. 이은철, 조건우, 김응수, "핵공학개론", 한티미디어 (2018)
'핵공학개론1' 카테고리의 다른 글
| [7] 원자로 내 열 전달 (0) | 2021.07.02 |
|---|---|
| [6] 열역학 기초 (0) | 2021.03.15 |
| [4] 4인자 공식(Four Factor Formula) (0) | 2021.02.12 |
| [3] 에너지에 따른 중성자 분포 (1) | 2021.02.07 |
| [2] 중성자 (0) | 2021.01.31 |




