[4] 플라즈마의 생성
핵공학개론2 2020. 12. 23. 23:28
I. 플라즈마 발생의 원리
i. electron impact ionization
지난 글(seraphy.tistory.com/2)에서 살펴보았듯이, 플라즈마란 간단히 말해 원자핵과 전자가 분리된 상태를 말한다. 이러한 상태를 만들어주는 방법에는 여러 가지가 있는데, 기본적으로 떠올릴 수 있는 방안은 온도를 높여 그 열에너지를 사용해 원자로부터 전자를 떼어내는 것이다. 수소 원자의 이온화에너지는 13.6eV이므로, 열을 이용한 이온화가 가능한 최저의 온도를 계산하면 다음을 얻는다.

그러나 기체 전체를 가열하여 10만 켈빈의 온도를 얻는 것은 어려운 일이다. 이 때문에 주로 전압을 사용해 전자를 가속, 표적 원자의 전자만 떼어내는 방식으로 플라즈마를 제작한다.

ii. Townsend Mechanism : Electron Avalanche
다음처럼 일정한 전기장이 걸린 공간을 생각해보자.

일정 전압 이상을 걸어주면, 음극에서 출발한 전자는 진행 경로 위에 있는 원자들과 충돌하며 전자를 생성한다. 이러한 증배계수를 생각해보면, 전체 전자의 수에 대해서 다음처럼 식을 쓸 수 있다.

이때의 alpha를 Townsend 1st ionization coefficient라 부르며, 단위길이당 전자가 생성되는 수를 의미한다.

여러 기체에서의 alpha 값을 계산해내기 위한 모델들 가운데 Rose와 Korff에 의해 제시된 다음 식이 대표적으로 쓰이고 있다.

위 설명은 음극에서 양극으로 향하는 하나의 전자가 증배되는 것을 나타낸 것이다. 이 과정에서 전자의 수는 exponential하게 증가하나, 전자의 공급이 끊기면 이온화도 중단되어 현상이 유지되지는 않는다. 그런데 이러한 이온화 과정에서는 전자뿐만 아니라 이온도 함께 생성된다. 전자보다 무거운 이온들은 다소 느린 속도로 양극에서 음극으로 이동하며, 음극에 도달하면 전극과 충돌해 표면에서 이차 전자를 생성한다. 이때 이온 하나가 충돌하여 만들어지는 전자의 수를 Townsend 2nd ionization coefficient라 부르며, gamma로 쓴다.
우리가 이 이온들에 주목하는 이유는 이들로 인해 플라즈마 생성 반응이 자발적으로 유지될 수 있기 때문이다. 즉, 일정 전압을 넘겨 충분한 증배를 일으켜준다면 전자가 이온을 생성하고 그 이온이 다시 전자를 만들어내는 방식의 반응이 일어날 수 있다. 이 과정에서 전자와 이온은 계속해서 증식하고, 이러한 electron avalanche는 불꽃 방전을 동반한 Townsend breakdown을 발생시킨다.
이러한 이해를 바탕으로, 방전 반응이 self-sustaining한 특성을 가질 조건, 즉 Townsend breakdown이 발생할 수 있는 최소 전압을 유도해보자.

위 그림은 한 개의 전자가 이온과 전자를 증식시키는 과정 중 일부를 나타낸 것이다. 붉은색 화살표가 이온, 푸른색 화살표가 전자에 해당한다. 음극에서 양극으로 갈 때는 전자가 exp(alpha x d)배로 증가하고, 여기에서 생성된 이온(양극에 도달한 전자 수에서 이를 유발한 전자 수를 빼주어야 한다)이 그 수의 gamma배에 해당하는 전자를 만들게 되며 다시 이들이 exp(alpha x d)배 증가하는 과정이 반복된다. 이때 양극에 도달하여 전류로 측정되는 전자의 수는 무한급수 공식을 사용해 계산할 수 있다. 이것은 1개의 전자에서 비롯된 것이므로, 수정된 증배계수와 같다.

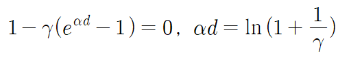
self-sustaining condition은 증배계수 M이 무한대로 발산하는 것이다. 이는 분모가 0으로 가는 것과 같으므로

이를 Townsend 1st ionization coefficient의 식과 결합한다.


이렇게 구한 전압 식에서 A와 B는 기체의 특성에 의해 결정되는 값이다. 따라서 자발 방전이 일어날 수 있는 전압은 방전판 사이의 거리와 기체 압력의 곱 pd에 대한 함수로 쓸 수 있다. 이를 그래프로 나타낸 것을 Paschen curve라 한다.

우리가 원하는 것은 자발 방전을 일으켜 플라즈마를 발생시킬 수 있는 최소한의 전압이다. 위에서 얻은 전압에 대한 식 V = f(pd)를 미분하여 그 최솟값을 찾으면 다음을 얻는다.

즉, 압력과 방전판 사이의 거리를 조절하여 적당한 조건을 맞춰주면 최소한의 전압으로 플라즈마를 발생시킬 수 있다.
iii. Paschen Curve
위에 주어진 그래프를 보면 최소 전압을 전후하여 방전에 필요한 전압이 다시 올라가고 있는 것을 확인할 수 있다. pd의 값이 큰 경우, 압력이 과다하여 공간 내 입자가 많아진다. 이 때문에 입자 간 충돌이 증가하고, 전자는 증배에 필요한 에너지를 확보하기 어렵게 된다. 이 상태에서 pd가 줄어들면 입자의 수 역시 줄어 에너지를 쉽게 얻으면서 이온화가 더 잘 일어난다. 그러나 pd가 너무 작은 경우, 오히려 공간 내의 전자 수가 충분하지 못한 상태가 되어 증배가 잘 일어나지 않는다.
iv. Limitation
이상으로 살펴본 Townsend의 이론은 pd의 값이 작은 조건(pd < 200 torr cm)에서만 성립한다. 압력이 높거나 방전판 사이의 간격이 넓을 때는 플라즈마 점화를 위한 스파크가 gamma process로 이어지지 않는다. 생성된 이온이 방전판에 도달할 수 있는 충분한 시간이 주어지지 않기 때문이다.
II. Plasma Source Technology
위 문단에서 일정 수준 이상의 전압을 걸어 플라즈마를 발생시킬 수 있음을 알아보았다. 이제 이 원리를 활용하여 제작된 여러 플라즈마 발생 장치들을 간단하게 소개하고자 한다. 플라즈마를 만드는 데 쓰일 전압은 크게 DC(또는 low frequency), RF(Radio-Frequency), MW(Microwave)로 분류된다.
이전 글(seraphy.tistory.com/4)에서 플라즈마의 구성 입자들이 스스로 진동하고 있다는 것을 살펴본 바 있다. 자세한 계산은 하지 않았으나, 일반적으로 공정 플라즈마에서 이온의 진동수가 MHz 단위로, 전자는 GHz scale로 결정된다. 플라즈마 발생 장치의 유형은 이들과 연관되어 있다.

전압의 진동수가 입자의 진동수보다 크면, 입자의 진동은 이에 가려져 관측되지 않는다. 원래대로라면 주기적으로 왕복 운동을 했어야 할 입자가 움찔거리거나 가만히 멈춰 있는 것처럼 보이는 것이다.

위 그림은 (a) ~ (c) 순서대로 DC, RF, MW 환경에서 입자가 움직이는 모습을 나타낸다. DC 환경에서는 이온과 전자가 모두 진동하나, MHz 진동수의 RF 환경에서는 이온의 움직임이 상쇄된다. 여기서 진동수를 더 높여 GHz 단위로 올라가면 전자의 움직임도 거의 보이지 않게 된다.
i. DC
적절한 값의 직류 전압을 이용해 에너지를 공급한다. Cathode(음극)으로부터 나오는 자유 전자들이 플라즈마를 가동시키는 방식이다. 이 과정에서 표면의 금속이 증발할 수 있는데, 이는 공정상의 오염을 초래할 수 있다.
ii. RF
DC 전압을 사용한 플라즈마 장치는 Cathode에서 방출된 전자가 Anode에 흡수되면 그 전자를 다시 이용할 수 없다는 단점이 있다. 이를 개선하기 위해 RF 교류 전원을 사용한다.

교류 전원을 사용하면 위 그림에서처럼 전자가 한쪽 방향으로만 이동하지 않고 전후 왕복 운동을 하면서 꾸준히 이온을 생성할 수 있다. 덕분에 전극에 흡수되는 전자의 수가 적으며, 이온화 효율이 높아지게 된다. 그 외에도 dielectric material을 사용하는 것이 가능하다는 장점이 있다.
대표적인 RF source에는 CCP(Capacitively Coupled Discharge Plasma)와 ICP(Inductively Coupled Discharge Plasma)가 있다.
a) CCP

DC와 유사한 형태이나, 방전판의 극이 정해지지 않고 교류 전원에 의해 작동한다는 것이 차이점이다.
b) ICP

ICP 장치는 원통형 chamber 주위로 도선이 감긴 형태로 구성되어 있다. 코일에 교류 전류가 흐르면 이로부터 변화하는 자기장이 생기고, 이는 다시 회전하는 전기장을 만든다. 이 전기장으로 전자를 가속시켜 플라즈마를 생성한다.
iii. MW
MW를 사용하는 장치는 surface wave 또는 resonance를 그 원리로 삼고 있다.
a) surface-wave plasma source
MW는 RF에 비해 침투력이 낮은 편이다. 전자기파의 skin depth만큼 침투한 MW는 표면을 따라 evanescent wave(소멸파)를 생성하고, 이렇게 만들어진 긴 plasma column은 비교적 넓은 주파수 영역에서 안정적으로 유지된다.
b) ECR(Electron Cyclotron Resonance) source
ECR은 전자가 자신의 고유 주파수

와 일치하는 주파수의 MW를 만났을 때 공명하며 에너지를 얻는 현상을 이용한다. 이에 의해 가속된 전자는 플라즈마를 생성하게 된다.
부록: Townsend 1st ionization coefficient 모델의 유도
전자가 원자를 이온화하기 위해서는 전기장으로부터 얻은 에너지가 이온화에너지를 넘어서야 한다. 이로부터

로 쓸 수 있다. 이때의 lambda는 mean free path이고, 기체의 압력 조건으로부터 다음을 얻는다.

앞서 언급된 alpha는 단위길이당 증배계수이므로, 여기에 전자의 mean free path를 곱하면 그 값은 평균 자유 거리가 ionization length(Townsend 1st ionization coefficient의 역수)보다 길 확률에 비례한다.

이로부터 Townsend 1st ionization coefficient에 대한 식의 형태를 찾을 수 있다.
참고문헌
1. A. Beiser, "Concepts of Modern Physics", 6th ed., McGraw-Hill Ltd. (2003)
2. David K. "Fundamentals of Engineering Electromagnetics", Pearson (2014)
3. F. Chen, "Introduction to Plasma Physics and Controlled Fusion", Springer (2016)
4. Kyoung Jae Chung, "Electrical Breakdown in Gases(High-voltage Pulsed Power Engineering)", Seoul National University (2018)
5. Kyoung Jae Chung, "Plasma Source Technology(Introduction to Nuclear Engineering)", Seoul National University (2020)
6. Seong-Jeen Kim et al., "Measurement of Vaccum Pressure by Electron Emission from Carbon Nanotube Emitters", Journal of the Korean Institute of Electrical and Electronic Material Engineers, Vol. 18, No. 5, p.396, May 2005.
7. Zenon Zakrzewski et al., "Surface-Wave Plasma Sources", Microwave Discharges. NATO ASI Series (Series B: Physics), vol 302. pp 117-140, Springer (1993)
'핵공학개론2' 카테고리의 다른 글
| [6] 핵융합 기초 (0) | 2020.12.29 |
|---|---|
| [5] 기체 방전 (0) | 2020.12.27 |
| [3] 플라즈마 내 입자의 거동 : many particles (0) | 2020.11.29 |
| [2] 플라즈마 내 입자의 거동 : a single particle (0) | 2020.11.25 |
| [1] 플라즈마 개념 정리 (0) | 2020.11.25 |




