[8] 원자로 동특성(Reactor Kinetics)
핵공학개론1 2021. 8. 8. 22:270. 서론
이전의 글들을 통해 원자로가 동작하는 기본 원리에 대해 개괄적으로 알아보았다. 이를 두 가지로 나눈다면, 하나는 중성자의 생성과 흡수에 대한 과정, 다른 하나는 이렇게 촉발된 핵분열로 만들어진 열을 동력기관으로 전달하는 과정으로 가를 수 있을 것이다.
'핵공학개론1' 태그의 글 중 2번 ~ 5번에 해당하는 부분이 중성자를 설명하는 글이었다. 핵분열 반응의 기본적인 매커니즘과, 원자로 내에서 에너지와 위치에 따른 중성자의 분포를 알아보았으며, 4인자 공식을 통해 세대에 걸친 중성자 수의 변화도 살펴보았다. 다만 이러한 내용은 모두 시간을 고려하지 않은 채 이루어진 것임을 주목해야 한다.
본 글에서는 원자로 조건에 따른 중성자 수의 시간 변화에 대해 논의할 것이다. 원자로에는 내부 및 외부의 중성자원(source)이 존재하는 한편, 다양한 방법으로 중성자의 손실도 일어난다. 이들 간의 관계는 중성자 평형 방정식(balance equation)으로 정리되고, 이 식을 풀이함으로써 중성자 수의 과도해 및 점근적 양상을 확인할 수 있다.
중성자 수의 변화 추이는 reactivity(반응도)를 기준으로 표현된다. 예컨대 원자로에 삽입되어 있던 제어봉을 빼면 그만큼 reactivity가 증가하고, 순간적으로 중성자 수가 감소했다가 안정 상태를 찾아간다. 본 글의 목표는 중성자의 지배 방정식을 유도해낸 뒤, 이를 사용해 reactivity에 따른 중성자 수를 나타내는 것이다. 이러한 과정을 통해 원자로 제어의 기본 개념을 이해할 수 있다.
1. 중성자 평형 방정식
i. 개념 정리(X-section, mean lifetime, options)
(주: X-section이란 cross를 X로 쓴 것으로 cross section과 같은 단어이다)
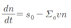
독립적인 중성자 공급원을 가진 가상의 원자로를 생각해보자. 이때 중성자 생성에 개입하는 유일한 요소는 해당 공급원이고, 손실은 중성자와 원자로 내 물질 간의 반응으로부터 발생한다고 둔다. 이를 사용해 중성자 수의 변화율을 표현하면 다음과 같다.

s_0는 중성자 공급원에서 생성되는 단위시간당 중성자 수이고, 뒤쪽의 항은 absorption X-section과 중성자의 속력, 그리고 전체 중성자 수의 곱에 해당한다. 두 번째 항에서,

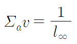
중성자 수 n 앞에 붙은 값은 위와 같이 변환하여 쓸 수도 있는데, 여기서 l_inf를 neutron mean lifetime이라 부른다. 위 식에서 단위를 살펴보면 좌변은 거리의 역수인 macroscopic X-section과 속력의 곱이므로 시간의 역수 단위가 됨을 알 수 있는데, 이러한 이유로 우변의 분모에 자리한 값은 시간의 단위를 갖는다.
l_inf를 mean lifetime으로 부를 수 있는 이유는 아래 계산 과정을 통해 확인할 수 있다.

l_inf는 MPF(absorption)를 속력으로 나눈 값으로 표현된다. 요컨대 중성자가 흡수되지 않고 진행할 수 있는 평균 거리를 그것의 속력으로 나눈 것이니 평균적으로 생존해 있는 수명과 같다고 생각할 수 있는 것이다.
※ 평균값
이상의 문단에서 사용된 변수 중 X-section과 중성자의 속력은 전체 중성자의 개별 값을 평균낸 것으로 생각한다. 예를 들어 X-section의 경우 중성자의 에너지와 원자로 내 위치(정확히는 그곳에 위치한 물질의 특성)에 따라 값이 변동하므로 위 식들에서처럼 하나의 값으로 설정할 수 없는데, 편의를 위해 flux에 대한 가중평균을 취했다고 둔다. 중성자의 속력 역시 에너지에 대해 평균을 취한 값을 사용한 것으로 간주한다. 앞으로 특별한 언급이 없으면 해당 변수들이 이러한 수학적 절차를 거친 것으로 생각하자. 이러한 과정은 우리가 적은 개수의 변수만을 가지고 원자로를 해석하는 데 도움을 준다.
본 문단에서 유도한 평형 방정식은 이하에 이어질 논의들 가운데 가장 간단한 형태를 갖는다. 본 글에서는 위 평형 방정식에 다양한 설정을 추가해가면서 분석을 진행할 것이며, 그러한 설정으로는 핵분열 물질(fissionable material)의 존재, 누설(leakage)의 여부 등이 있다.
ii. w/o fission, w/o leakage
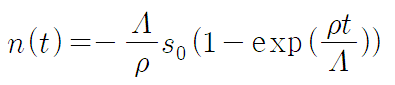
앞서 유도한 식의 해는 다음과 같다.

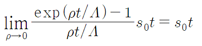
해의 첫째 항은 absorption에 따른 감쇠를 나타내고, 둘째 항은 source에 의한 생성을 나타내고 있다. 시간 t를 무한대로 보내면,

최종적으로는 source에서 생성되는 중성자들이 mean lifetime만큼 존재하는 양상에 점근적으로 다가가는 것을 확인할 수 있다.
iii. with fission, w/o leakage
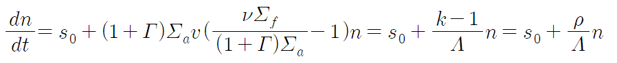
이제 fission으로 인한 중성자의 생성을 식에 포함시켜보자. Absorption의 영향을 표현할 때와 마찬가지로 항을 만들면 다음처럼 식을 쓸 수 있다.

이 경우 원자로 내 물질에 의한 생성과 흡수의 비인 무한증배계수를 사용해 식을 간단히 만들 수 있다.

무한증배계수는 한 세대를 거친 뒤 중성자가 늘어나는 배율이므로 기준점이 1인 변수에 해당한다. 편의상 기준값을 0으로 두고 식을 쓰고자 다음과 같이 반응도(reactivity)를 정의한다.

Reactivity는 무한증배계수와 연관된 새로운 변수로, 물리적으로는 제어봉에 의한 원자로 출력 조정 능력을 의미한다. 무한증배계수가 1이면 해당 원자로는 임계 상태(critical state)에 놓여 있다고 하는데, reactivity는 현재 원자로가 임계로부터 얼마나 멀리 떨어져 있는지를 보여주는 지표로 쓰인다.
또한 neutron generation time을 다음과 같이 정의한다.

이는 중성자 1개가 fission에 의해 생성될 때까지 걸리는 평균 시간을 의미한다. 다음 식을 살펴보자.

가장 오른쪽 항에서 λ_f는 fission 반응을 일으키기 전까지 중성자가 이동하는 평균 거리이고, 이를 속력으로 나누면 fission 전까지 생존할 수 있는 평균 수명이 됨을 알 수 있다. 이 시간이 지나면 핵분열에 의해 중성자가 새로 생성되는데, 이것을 분열당 중성자 생성 수인 ν로 나누어주면 generation time의 정의를 얻는다.
따라서 최종 식과 그 해는 다음처럼 주어진다.

위에서 얻은 해는 reactivity에 따른 임계 상태 여부에 따라 그래프가 다르게 그려진다. 다만 이를 살펴보기 전에, 다음 문단을 통해 leakage의 영향까지 고려한 뒤에 다시 이 내용을 논의하기로 한다. 이유는 leakage를 포함해 계산한 해의 형태가 위와 크게 다르지 않기 때문으로, 사실 거의 동일하다.
iv. with fission, with leakage
원자로에서 leakage의 영향을 고려하는 방법은 이를 absorption과 다르지 않다고 보는 것이다. 다시 말해 중성자가 원자로 내 물질에 의해 흡수되는 것이나 원자로 바깥으로 나가는 것이나 결과적으로 그 영향은 서로 같은 축에 속한다고 생각한다. 이렇게 함으로써, 우리는 다음과 같이 absorption term과 동일한 형태를 갖는 항에 계수를 곱해주는 방식으로 leakage term을 만들 수 있다.

이것으로 absorption과 leakage를 합친 항은 다음의 형태로 변하며,

식은 다음처럼 쓸 수 있다. 전반적인 형태는 이전 문단에서의 식과 완전히 일치하나, 무한 원자로 가정을 의미하던 우하첨자가 사라진 점을 주목하라.

무한 원자로 가정은 이상적인 상태에서만 성립하므로, 실제 원자로 환경과는 맞지 않다. 이에 실제 현장에서 사용하는 값은 누설을 고려한 유효증배계수와 유효평균수명으로, 이들 값 사이의 관계는 다음과 같이 주어진다.

이때 P_NL을 non-leakage probability(비누설확률)라 부른다. 흡수 또는 누설되는 중성자 가운데 누설되지 않는 중성자의 비율을 의미한다. 위 식을 사용해 generation time을 다시 계산해보면 누설이 없을 때의 값과 같다는 것을 확인할 수 있는데, 이러한 이유로 이전 문단에서 Λ에 첨자 ∞를 적지 않았다.
이로부터 계산한 방정식과 그의 해는 아래처럼 나온다.

v. transient behavior
앞선 문단에서 언급한 대로, fission과 leakage를 고려한 방정식의 해는 reactivity에 따라 서로 다른 모습을 보인다. 간결함을 위해 초기 중성자 수는 0이었다고 가정하자.

Reactivity의 정의에 따라 ρ가 양수일 때는 초임계, 음수일 때는 미임계 상태이며 정확히 0일 때가 임계이다. 각각의 경우에 대하여 그래프를 그려보자.
먼저 미임계 상태에서는 exp 항 내부가 음수이며 전체 항은 양수가 된다. 따라서 그래프는 다음처럼 나타난다.

다음으로 초임계인 경우 전체 항이 음수, exp 내부가 양수이므로 지수적으로 증가하는 모습을 보인다.

임계 상태인 경우, 다음처럼 극한을 취하면 선형적인 증가 양상이 나타남을 알 수 있다.


위 그래프에서 눈여겨볼 점은 임계 상태에서의 선형적 증가가 독립적인 중성자원에 의존한다는 것이다. 요컨대 임계 상태에 도달한 원자로에서 중성자 공급을 중단하면, 원자로 내 중성자 수는 일정하게 유지될 것임을 예측할 수 있다. 임계 상태는 중성자 수의 변화가 없는 상태를 의미하므로 당연하다.
실제로 원자로를 가동할 때는 다수의 제어봉이 삽입된 미임계 상태에서부터 시작한다. 적당한 수의 제어봉을 빼내면서 원자로를 임계 상태로 맞춘 뒤, 의도한 중성자 수를 달성하면 중성자원을 제거하는 방법을 통해 원자로를 제어한다.
vi. 원자로 제어
이상의 과정을 통해 원자로 내에서 중성자 수가 어떻게 변화하는지를 알아보았다. 그러나 중성자 수의 변화가 위에서 얻은 식을 그대로 따라간다고 가정하면, 임계 상태에서 reactivity가 조금이라도 증가해 초임계 상태로 진입할 경우 인간이 제어할 수 없는 속도로 중성자 수가 급증하게 되는 문제가 발생한다. 이는 초임계 상태에서 중성자 수를 지배하는 항

에 대해, 시간 T가 지날 때마다 중성자 수가 e배 증가한다는 점으로부터 알아차릴 수 있다. 일반적으로 generation time은 sec 단위로 1e-5 scale 정도로 매우 작고 이 값이 T에 직접적으로 영향을 주기 때문에 중성자 수가 e배 증가하는 주기 는 매우 짧은 시간으로 설정된다. 따라서 위에서 다룬 내용만을 가지고 원자로를 해석할 경우, 원자로가 초임계 상태로 진입하는 엄청난 사고가 매우 쉽게 일어날 수 있다는 계산이 나온다.
2. 지발중성자
i. 즉발중성자(prompt)와 지발중성자(delayed)
하지만 실제 원자로에서는 위 식이 성립하지 않는다. 이는 핵분열 결과로 생성되는 중성자가 모두 반응 즉시 방출되는 것이 아니기 때문으로, 일부 중성자는 수백 ms ~ 수십 초의 지연 시간을 갖고 방출된다. 이러한 중성자를 지발중성자(delayed neutron)라고 하여 원자로 제어의 핵심적인 역할을 수행하는 것으로 알려져 있다. 지금까지의 논의에서 모든 중성자는 반응과 동시에 발생하는 것처럼 묘사되었는데, 이러한 중성자는 즉발중성자(prompt neutron)라 부른다.
지발중성자는 일반적으로 베타 붕괴 중 극히 적은 경우에 발생한다. 한 예로 55초의 반감기를 갖는 Br-87은 베타 붕괴를 일으켜 Kr-87로 변하고, 잠시 후 그보다 안정한 Kr-86으로 또 한 번 변화하며 중성자를 내보낸다. 이때 지발중성자가 만들어지는 반응의 시작점에 있는 핵종을 precursor, 중간에 나타나는 핵종을 emitter라 지칭한다. 중성자가 핵에서 방출되는 현상 자체는 거의 즉시 일어나므로, 지연되는 시간은 precursor의 반감기에 의해 채워진다. 이러한 과정을 통해 방출된 지발중성자는 emitter의 결합에너지를 이겨내고 나오는 것이기에 즉발중성자에 비해 에너지가 낮다.

Br-87은 대표적인 precursor에 속하지만, 위 그림에 등장하는 다른 경로로 붕괴하는 경우가 대부분이다. 요컨대 핵연료에서 발생하는 중성자 중 상당수가 즉발중성자에 속하고 지발중성자는 소수에 불과하다. 전체 중성자 가운데 지발중성자의 비율을 β로 표시하는데, 국내 원자력 발전소에 사용되는 우라늄 혼합물의 β 값은 0.0074이다. 그럼에도 불구하고 지발중성자는 원자로 제어 능력을 확보하는 데 있어 중요한 이론적 배경에 해당한다.
학자에 따라 서로 의견이 다르지만, 지발중성자를 만들어내는 precursor는 대략 40종류가 있는 것으로 알려져 있다. 그러나 이들 핵종의 특성(붕괴 상수 등)을 일일이 측정하는 것은 매우 어려운 일이며, 그 수가 많은 관계로 개별적으로 식에 반영하는 것은 불가능에 가깝다. 따라서 precursor를 몇 개 그룹으로 나누어 그룹별 붕괴 상수와 비율을 사용하는 사용하는 것이 일반적이다. 그룹의 구분 역시 연구자마다 상이한 기준을 갖고 이루어지는데, 본 글에서는 U235에 대한 다음의 6개 그룹으로 나누도록 한다.

위 표에서 group number가 커질수록 붕괴 상수는 증가하고, 평균 수명은 감소한다. 예컨대 1번 그룹의 평균 수명은 약 80초인 반면 6번 그룹은 0.3초 정도이다. 개별 비율을 고려한 평균 붕괴 상수는 0.08로, 이로부터 평균 수명을 계산하면 13초가 나온다.
ii. point kinetics equation
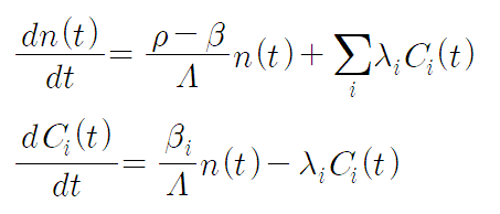
이제 지발중성자에 의해 평형 방정식이 어떻게 변하는지 살펴보자. 이전에 유도했던 방정식은 다음과 같았다.

여기서 ρ는 reactivity, Λ는 generation time이다.
즉발중성자일 때와는 달리, 이번엔 어떤 시점에서 핵분열로 만들어진 중성자 가운데 지발중성자 분율에 해당하는 양은 특정 시간 간격을 두고 생성된다. 요컨대 즉발중성자는 다음의 항으로 표현된다.

여기서 배제된 지발중성자는 precursor의 붕괴로 인해 생성되므로, 해당 시점의 precursor 수 C_i와 그 붕괴 상수 λ_i로부터 영향을 받는다. 각 group별 precursor의 붕괴를 사용해 지발중성자의 수를 표현하면 다음과 같다.

이를 종합하여 ρ와 Λ로 식을 나타내면 다음 결과를 얻는다. S(t)는 source에 의한 중성자 생성을 시간에 대해 표현한 것이다.

또한 precursor의 경우 일반적인 방사성 붕괴 과정을 겪는데, precursor는 붕괴에 의해 손실되고 핵분열에 의해 생성된다. 생성의 경우 지발중성자 분율을 사용해 이를 표현할 수 있다.

이렇게 유도한 두 방정식을 묶어 point kinetics equation이라 부른다.
iii. CDS approximation and prompt jump
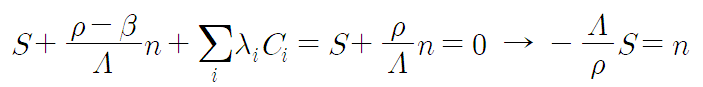
중성자 방정식에 지발중성자의 영향이 더해지면서, 원자로 동특성에는 새로운 변화가 더해진다. 이를 간단히 살펴보기 위해 먼저 steady state를 가정하고 양상을 관찰해보자. 이 경우 시간의존성은 무시된다. 두 번째 식(precursor)으로부터,

임을 아는데, 이를 첫 번째 식에 대입하면 steady state에서의 중성자 수를 계산할 수 있다.

즉, steady state에서 중성자 수는 generation time 동안 source에 의한 생성량에 reactivity의 역수를 곱한 값으로 결정된다.
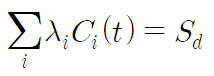
만약 independent source가 존재하지 않는다면 어떻게 될까? 이 경우에도 우리는 source와 비슷한 역할을 하는 항을 확인할 수 있는데, 바로 지발중성자가 그것이다. 6개 그룹으로 나눈 precursor의 평균 수명이 13초라는 것을 앞서 계산한 바 있다. 일반적으로 원자로 내 generation time은 50㎲ 수준으로, precursor가 붕괴되어 발생하는 지발중성자에 비하면 극히 짧은 시간이다. 이러한 이유로 즉발중성자의 입장에서 볼 때 지발중성자는 매우 먼 과거에 만들어진 precursor로부터 생성되는 셈이 되고, 사실상 독립적인 중성자원이나 다름없게 된다.
요컨대 지발중성자에 의한 중성자원을 다음처럼 정의하면,

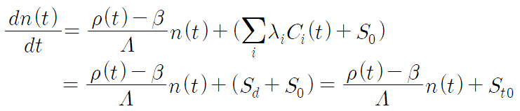
이때 중성자 수 n은 다음처럼 얻어진다.

이상의 과정은 point kinetics equation을 풀기 위한 CDS approximation(constant delayed neutron source)의 사전 작업에 해당한다. CDS 가정이란 이런 방식으로 정의한 중성자원 S_d가 시간독립적인 상수로 주어진다는 것으로, 이를 적용하면 point kinetics equation은 다음 식으로 표현될 수 있다.

원자로에서 reactivity는 제어봉을 넣고 빼는 작업에 의해 제어된다. 이 때문에 reactivity를 시간의 함수로 표현하면 마치 step function과 같은 움직임을 볼 수 있고, 이에 따라 본 글에서는 제어봉이 제거되는 시점 t=0를 기준으로 초기 reactivity와 이후의 reactivity를 간단히 두 개의 상수로 표현하고자 한다.

또한 수식을 정리하기 위해 다음 값을 새롭게 정의하자. α_p는 prompt frequency, T는 prompt period라 부른다.

이로부터 식은 다음처럼 변하고, 해를 아래와 같이 구할 수 있다.

여기서 S_t0는 다음처럼 계산할 수 있다(S_0는 본 문단 초반부 식을 사용함).

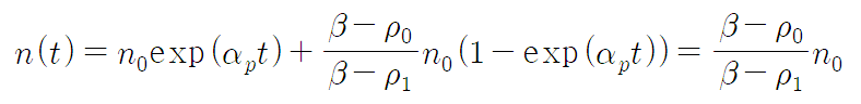
따라서 S_t0와 α_p의 정의로부터 n을 reactivity에 대한 함수로 변형할 수 있다.

이렇게 얻은 해로부터 reactivity 변화에 따른 중성자 수의 추이를 살펴볼 수 있을 것이다. 먼저 exp 항의 추세를 결정하는 α_p를 살펴보면, 제어봉 제거 후의 reactivity인 ρ_1과 지발중성자 분율 β 간의 대소 관계에 따라 부호가 바뀌는 것을 알 수 있다. reactivity가 지발중성자 분율보다 크면 prompt frequency는 양수이고, 서로 같을 때는 0, reactivity가 그보다 작으면 음수가 된다. 지발중성자는 즉발중성자에 비해 매우 늦게 방출되므로 사실상의 reactivity는 (ρ_1 - β)가 될 것인데, 이로부터 α_p이 양수일 때 원자로가 초임계, 0일 때 임계, 음수일 때는 미임계 상태(subprompt critical)에 놓이게 되는 것을 알 수 있다.

이때 prompt frequency가 음수인 미임계 상태를 가정하자. 만약 reactivity의 변화가 없다면(ρ_0 = ρ_1), 중성자의 수는 일정하게 유지될 것이다.

만약 reactivity가 증가하였다면, 위 식의 첫 번째 항은 점차 감쇠하여 사라지고 대신 두 번째 항이 지배적으로 작용하게 된다. 점근적으로는 다음과 같이 reactivity에 의존하는 값을 향해 접근할 것이다.


이와 같이 reactivity의 증가로 인해 발생하는 중성자 수의 순간적인 증가를 prompt jump라 부르고, 이때 jump가 일어나는 폭은 reactivity와 지발중성자 분율에 의존한다.
※ dollar($)
reactivity는 때때로 β에 대한 배율로써 표현되고는 하는데, 이때 사용하는 단위가 dollar이다. 만약 reactivity와 β가 서로 같은 값이면 그때의 reactivity를 1dollar라 쓴다. dollar 단위로 나타낸 reactivity는 우하첨자로 '$'를 더해 표기하며, 이를 사용해 위 식을 수정하면 다음과 같아진다.

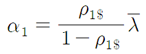
마지막으로 초임계 상태에서의 급격한 중성자 증가 문제를 어떻게 해결하였는지를 알아보고 본 문단을 마친다. 지금까지는 precursor에 의한 영향을 시간독립적으로 다루었으나, 실제로는 그렇지 않아 이를 반영한 식을 유도할 필요가 있다. 다만 계산 과정이 매우 복잡하기 때문에 본 글에서는 다루지 않고, 결과만 아래와 같이 소개하고자 한다. 이는 초기 reactivity가 0이고 독립적인 중성자원이 없다고 가정했을 때의 해이다.

위 식에서 α_1은 stable inverse period라 부르며, 정의는 다음과 같다.

여기서 λ bar는 precursor의 그룹별 붕괴 상수에 조화평균을 취한 값이다(one-group delayed neutrons). 위에 소개된 해를 보면, α_1이 지배하는 첫 번째 항은 증가, α_p의 두 번째 항은 감소를 의미하는 것을 알 수 있다. λ bar의 값이 0.08 sec^(-1)임을 위에서 확인했으므로 ρ_1dollar에 적절한 값을 넣어보면 지발중성자를 고려한 상태에서의 중성자 증가 속도를 계산할 수 있는데, 예시로 ρ_1dollar = 0.1dollar를 대입할 경우 그 주기로 T = 112.5 sec를 얻는다. 이 정도의 시간적 여유가 주어지면 비로소 원자로가 초임계 상태에 돌입하더라도 대응할 수 있게 되고, 따라서 앞선 문단에서 예상했던 사고의 위험은 크게 낮아진다. 매우 적은 분율을 차지하는 지발중성자가 원자로 제어에 큰 기여를 할 수 있는 것이다.
iv. inhour equation
이상의 글에서 살펴본 것처럼, 원자로 주기 T는 원자로 제어 측면에서 중요한 의미를 갖는다. 이에 따라 원자로가 임계 상태에 놓여 있을 때, reactivity의 변동이 어느 정도이면 그에 따른 원자로 주기는 얼마가 되는지를 계산할 필요가 있는데, 그러한 방정식을 inhour(inverse-hour) equation이라 부른다.
바로 이전 문단에서 구한 식은 편의를 위해 precursor group을 하나로 묶어 붕괴 상수의 조화평균을 사용하는 식으로 계산이 이루어졌다. 이번에는 6개의 precursor equation을 모두 고려하되, reactivity의 step 특성을 확장시켜 reactivity가 상수라고 가정한 채 풀어볼 것이다.

이 경우 시간의존적인 변수는 중성자 수 n과 precursor 수 C_i뿐이며, 이들은 임의의 주파수 ω에 대해 다음과 같은 해를 가질 것이라 예상할 수 있다.

이를 방정식에 대입한 뒤 식 7개를 모두 연립하면 reactivity에 대한 다음 식을 얻는다.


이 식이 inverse-hour equation이라는 이름을 갖게 된 이유는 reactivity에 대응하는 시간의 역수 값을 하나 지정해주는 역할을 하기 때문이다. 위 그래프를 사용하면 어떤 양의 reactivity가 원자로에 가해졌을 때, 그에 따른 주파수 7개를 알 수 있다. 그러나 그 중 6개는 음수로 감쇠하는 항이고, 양수인 1개의 주파수만이 살아남아 원자로 주기에 영향을 준다. 또한 이와는 반대로 원자로 주기를 측정하여 reactivity를 계산할 수도 있다. 예컨대 주기가 1시간(3600 sec)이 되도록 하는 reactivity를 본 글에서 제시한 값으로부터 계산하면 0.0035$임을 확인할 수 있을 것이다.
참고문헌
1. Han gyu Joo, "Reactor Kinetics(Introduction to Nuclear Engineering 1)", Seoul National University (2020)
2. J. K. Shultis, R. E. Faw, "Fundamentals of Nuclear Science and Engineering", 2nd ed., CRC Press (2008)
3. J. R. Lamarsh, A. J. Baratta, "Introduction to Nuclear Engineering", 3rd ed., Prentice Hall (2001)
4. 이은철, 조건우, 김응수, "핵공학개론", 한티미디어 (2018)
이미지
1. https://www.nuclear-power.com/nuclear-power/fission/delayed-neutrons/precursors-of-delayed-neutrons/
'핵공학개론1' 카테고리의 다른 글
| [10] 원자로 장기 운전 시의 변화 (0) | 2021.08.20 |
|---|---|
| [9] 원자로 내 반응도 피드백 (0) | 2021.08.15 |
| [7] 원자로 내 열 전달 (0) | 2021.07.02 |
| [6] 열역학 기초 (0) | 2021.03.15 |
| [5] 원자로 내 중성자 분포 (1) | 2021.02.16 |




